
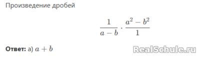
Решение: (Нажмите на изображение, чтобы увеличить)


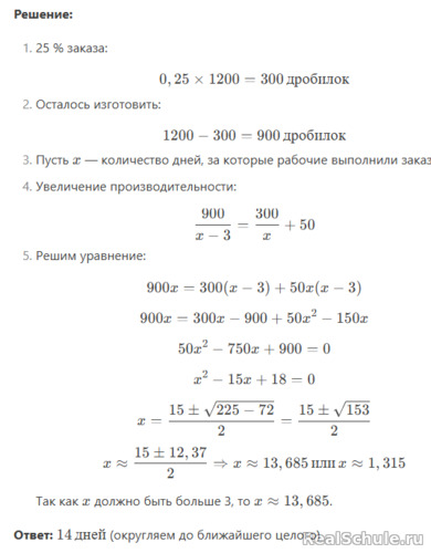
Решение: (Нажмите на изображение, чтобы увеличить)


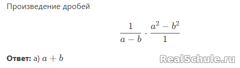
Решение: (Нажмите на изображение, чтобы увеличить)


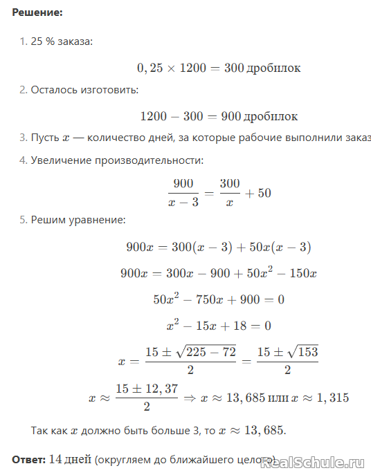
Решение: (Нажмите на изображение, чтобы увеличить)


Решение: (Нажмите на изображение, чтобы увеличить)


Решение: (Нажмите на изображение, чтобы увеличить)


Решение: (Нажмите на изображение, чтобы увеличить)


Решение: (Нажмите на изображение, чтобы увеличить)


Решение: (Нажмите на изображение, чтобы увеличить)


Решение: (Нажмите на изображение, чтобы увеличить)

|